Ⅰ. 서론
주택시장에 자본자산가격 결정모형(Capital Asset Pricing Model; 이하 CAPM)을 적용시킬 수 있는가에 대한 여러 가지 논의가 이루어지고 있다. CAPM은 기본적으로 금융자산을 대상으로 개발된 이론으로서, 균형 상태에서 자산가격이 어떻게 이루어지는가를 설명하며, 자산의 기대수익률과 체계적인 위험 지표인 베타와의 선형 관계에 초점을 맞추고 있다.
CAPM이 성립하기 위해서는 시장이 완전(perfect market)해야 하며, 거래비용이나 세금 같은 마찰적 요인이 존재하지 않아야 한다. 그러나 주택의 경우, 중개수수료나 각종 세금으로 인해 거래비용이 높고, 유동성 위험(liquidity risk)이 크며, 분산투자가 용이하지 않다는 등 금융자산과는 다른 특성을 갖고 있다. 이러한 특성으로 인해 비체계적 위험이 주택의 기대수익률에 반영될 가능성이 상존하며,1) 또한 주택자산이 투자재인 동시에 소비재라는 이중적 성격을 갖고 있음도 고려할 필요가 있다.
본 연구는 울산광역시의 개별 아파트수익률을 이용하여 주택투자에 대한 기대수익률과 위험의 관련성을 검토한다. 주택수익률은 자본수익률과 총수익률(자본수익률+전세수익률)의 두 가지로 구분하였다. 분석의 초점은 세 가지이다. 첫째는 울산 아파트시장에서 엄밀한 의미의 CAPM이 성립하는가의 문제 즉 체계적 위험만으로 주택수익률을 설명할 수 있는가의 여부이며, 둘째는 비체계적 위험이 주택시장에서 기대수익률에 반영되는가의 여부이고, 셋째는 전세수익률을 포함하는 경우 어떠한 차이가 나타나는가를 살펴보는 것이다. 외국과는 달리 우리나라에는 전세라는 독특한 제도가 있으며, 전세수익은 주택의 소비재적인 성격을 반영하는 것으로 볼 수 있다. 이러한 전세수익을 수익률에 반영하는 경우 앞의 두 가지 검토사항이 어떻게 달라지는가를 살펴보는 것은 의미 있는 작업이라 생각된다.
본 연구에서 사용하는 방법론은 기본적으로 Black·Jensen·Scholes (1972, 이하 BJS)의 방식이다. BJS는 개별자산의 수익률을 그대로 이용할 경우 발생할 수 있는 변수오차(errors in variable) 문제를 최소화하기 위해 포트폴리오 수익률을 이용한 2단계 횡단면 분석을 사용하며, CAPM 검정식은 베타만을 고려하는 단일 요인 모형으로 설정하고 있다. 본 연구에서는 비체계적 위험과 기대수익의 관련성을 살펴보기 위해, 단일 요인 모형뿐만 아니라 비체계적 위험을 포함하는 2요인 모형도 함께 고려한다.
본 연구의 구성은 다음과 같다. 제 1장의 서론에 이어, 제 2장에서는 주택시장에서의 CAPM 적용여부를 분석한 국내외 선행연구를 검토하였다. 제 3장에서는 모형 및 분석방법을 설명하였으며, 제 4장에서는 실증분석 결과를 살펴보았다. 제 5장은 결론이다.
Ⅱ. 선행연구 및 차별성
주택투자에서 기대수익률과 위험의 관계를 분석한 대표적인 해외의 논문으로는 Dolde and Tirtiroglu(1997), Miller and Peng(2006), Cannon et al.(2006), Miller and Pandher(2008), Case et al.(2011) 등이 있다.
Dolde and Tirtiroglu(1997)는 미국 코네티컷과 샌프란시스코의 마을(town)별 주택가격 데이터를 이용하여 주택수익률의 변동성과 기대수익률이 양(+)의 관계를 갖고 있음을 보였으며, Miller and Peng(2006)은 미국 277개 대도시(MSA) 자료를 GARCH 모형과 패널 VAR 모형에 적용하여 외생적인 주택가격의 변동성 증가가 주택가격의 상승률 증가로 이어진다는 실증적 분석 결과를 보고하였다.
Cannon et al.(2006)은 미국의 7,234개 Zip-code 별 평균주택가격 데이터를 이용하여 주택투자의 기대수익률과 위험의 관계를 분석하였다. 시장수익률의 대용지표로는 S&P 500지수를 사용하였으며, 실증분석 결과는 체계적 위험 베타와 비체계적 위험이 모두 기대수익률과 유의적인 양(+)의 관계를 갖는 것으로 나타났다.
Miller and Pandher(2008)는 시장수익률 대용지표로 S&P 500지수와 평균주택가격증가율의 두 가지를 모두 고려하는 2요인 모형을 제시하였다. Cannon et al.(2006)과 동일한 데이터를 이용하여 분석한 결과, 두 개의 베타는 모두 주택수익률과 유의적인 음(−)의 관계를 갖고 있으며 비체계적 위험만이 유의적인 양(+)의 관계를 나타내는 것으로 보고하였다.
Case et al.(2011)은 Fama and Macbeth(1973) 타입의 검증 방식을 이용하여 주택투자의 위험과 수익률의 관계를 살펴보았다. 포트폴리오의 수는 10개로 하였으며, 사용된 데이터는 미국의 150개 대도시(MSA)의 주택가격지수를 이용한 수익률이고, 미국 전체의 주택가격증가율을 시장수익률의 대용지표로 사용하였다. 체계적 위험 베타와 비체계적 위험이 모두 기대수익률과 유의적인 양(+)의 관계를 갖는 것으로 분석되었다.
우리나라의 주택시장을 대상으로 한 분석도 비교적 활발히 이루어지고 있다. 초기에는 토지시장을 대상으로 한 분석에서 한국 부동산 시장에 CAPM 모형이 적용되지 않는다는 실증분석 결과가 주를 이루었으나, 최근에는 아파트 시장을 중심으로 기대수익과 위험의 양(+)의 관계가 성립할 수 있음을 보여주는 실증적 분석 논문들도 다수 발표되고 있다.
우리나라 주택시장에 CAPM이 적용되지 못한다고 분석한 논문으로는 서병덕·김종범(2006), 문제현·김갑열(2014) 등이 있다. 이들의 분석에서는 전국 혹은 여러 지역의 주택가격자료를 이용하고 있는데, 서병덕·김종범(2006)은 전국의 26개 도시자료(주택가격지수)를 이용한 횡단면 분석을 하였으며, 문제현·김갑열(2014)은 1기 신도시 22개동의 평균아파트 가격을 BJS 방식에 적용하였다. 이들 모두 주택가격 증가율로 표시되는 주택수익률을 CAPM으로 설명할 수 없다고 결론짓고 있으며, 특히 서병덕·김종범(2006)은 베타뿐만 아니라 비체계적 위험도 수익률과 음(−)의 관계를 갖는 것으로 보고하고 있다.
반면, 서울의 일부지역의 주택가격을 이용한 실증 분석 논문들은 주택시장에서의 CAPM의 적용 가능성을 보여주고 있다. 유주연·이준용·손재영(2010)은 서울의 강남구와 노원구의 아파트 가격 데이터를 사용한 BJS 방식의 분석을 통해 이들 두 개 구에서 각각 베타 계수와 초과수익률의 관계가 선형에 가깝게 나타나고 있음을 강조하고 있으며, 이종아·정준호(2010)는 서울의 강남 3개구의 아파트시장 특히 재건축 아파트를 중심으로 베타와 수익률의 양(+)의 관계가 보다 뚜렷이 나타나고 있음을 보고하고 있다. 한편, 김중득·이영수(2016)는 주택투자의 지역적 제약을 감안한 고정효과모형을 사용하면, 우리나라 대도시 아파트시장 전체를 대상으로 하는 분석에서 체계적 위험과 수익률이 유의적인 양(+)의 관계를 가질 수 있다는 실증 결과를 제시하고 있다. 이러한 실증 분석 결과들은 주택 시장이 지역별로 분할되어 있으며, 대도시의 아파트 시장은 CAPM의 기본원리가 작동하는 비교적 합리적인 시장이라는 추론을 가능하게 하고 있다.
한편, 홍기석(2012), 민성훈(2015) 등은 시장수익률 대용지표로 주택시장의 수익률이 아닌, 포괄적인 지표를 사용하여 CAPM의 적용가능성을 검토하였다. 민성훈(2015)은 소비지출액 증가율을 시장수익률 대용지표로 사용하는 소비기반 CAPM 모형을 이용하여, 국내 136개 권역별 아파트 수익률에서 체계적 위험과 수익률의 관계가 잘 설명될 수 있으며, 비체계적 위험에 대한 위험 프리미엄은 존재하지 않는다는 실증분석 결과를 발표하였다. 홍기석(2012)은 소비지출액 증가율과 함께 다양한 위험요인(임대료 위험, 시장위험)을 감안하는 포괄적 CAPM 모형을 서울의 1,766개 아파트에 적용하여 분석하였다. 가격증가율로 표시되는 아파트 시장위험이 높으면 기대수익률이 높아진다는 점과 함께, 개별적 위험보다는 다양한 위험으로 아파트 수익률을 설명하는 것이 보다 통계적으로 유의하다는 분석 결과를 제시하였다.
우리나라에서 개별 주택수익률과 CAPM의 관계는 주로 서울을 중심으로 연구가 진행되어 왔다. 본 연구는 울산광역시의 개별 아파트수익률을 이용하여 CAPM의 논거가 지방 대도시의 주택투자에 적용될 수 있는가를 검토한다. 본 연구에서 CAPM 검정을 위해 사용한 분석 방법은 BJS 방식이다.
기존의 선행연구들과 비교하여 본 연구는 다음과 같은 차별성을 갖고 있다.
첫째, 분석 모형의 확장이다. BJS 방식은 기본적으로 체계적 위험 베타에 초점을 맞추는 단일요인 모형을 사용한다. 본 연구에서는 주택시장이 갖는 특성으로 인해 비체계적 위험이 주택의 기대수익률에 반영될 가능성이 높다는 점을 감안하여, 베타뿐만 아니라 비체계적 위험을 포함하는 2요인 모형도 함께 고려하였다.2)
둘째, 포트폴리오의 개수를 다양화하였다. BJS 방식에서 CAPM 검정은 개별 수익률 자료를 그대로 이용할 경우 나타나는 통계적 문제점들을 최소화하기 위해 포트폴리오를 설정하게 되는데, 이러한 포트폴리오의 설정은 개별 수익률의 베타 크기에 입각하여 이루어진다. 베타 크기에 따른 포트폴리오의 설정은 베타와 기대수익률의 관계를 명확히 하는데 도움을 주는 반면, 비체계적 위험의 영향력이 포트폴리오 구성을 통해 상쇄될 가능성도 상존하게 된다. 이러한 한계점을 극복하기 위해 본 연구에서는 포트폴리오의 개수를 다양화하여 그 차이를 살펴보았다.
셋째, 검정기간을 구분하였다. 본 연구에서의 데이터는 금융위기 이전과 이후를 모두 포함하고 있다. 검정기간을 금융위기를 포함하는 경우와 포함하지 않는 경우로 구분하여3) 그 차이를 살펴보는 것은 의미 있는 작업이라 여겨진다.
넷째, 기존의 연구에서 주택수익률은 대부분 가격증가율만을 고려하고 있으나, 본 연구에서는 임대수익(전세수익)을 감안한 총수익률의 경우도 함께 살펴보았다.4) 주택투자의 경우 임대수익 비중이 높다는 점을 고려하면 수익률에 임대수익을 감안한 총수익률을 수익률 지표로 사용하는 것이 보다 적절할 수도 있을 것이다. 다만, 주택의 임대수익은 주식의 배당과는 달리 주택의 사용가치(소비재인 성격)와 직접적으로 연계되어 있다는 점에서 배당률을 감안한 주식의 총수익률과는 다소 다른 개념으로 접근해야 할 것이다.
Ⅲ. 모형 및 방법론
CAPM은 균형상태에서 자산의 가격이 어떻게 결정되어야 하는가를 보여주는 모형이다. Markowitz(1952)의 포트폴리오 이론과 Tobin(1958)의 분리정리를 결합하여 발전하였으며, Sharpe(1964), Lintner(1965), Mossin(1966) 등에 의해 구체적으로 개발되었다.
CAPM에 의하면, 자산의 기대수익률은 그 자산의 체계적 위험의 척도인 베타와 선형적 관계를 갖게 되며, 이를 식으로 표현하면 식 (1)과 같다.
위에서 ri는 자산 i의 수익률, rm은 시장수익률, 그리고 rf는 무위험수익률이다. E(ri)는 자산 i의 기대수익률을 표시하며, 따라서 E(ri)−rf는 자산 i의 초과기대수익률 그리고 E(rm)−rf는 시장의 초과기대수익률을 의미한다. βi는 i자산의 체계적 위험으로서, i자산의 초과수익률과 시장의 초과수익률의 공분산을 시장 초과수익률의 분산으로 나눈 비율로 정의된다.
식 (2)에서 cov와 var은 각각 공분산과 분산을 표시하며, Ri와 Rm은 각각 자산 i의 초과수익률과 시장의 초과수익률을 나타낸다.
체계적 위험을 의미하는 베타는 사후적으로 추정할 수밖에 없으며, 베타가 시간비가변적(time invariant)이라는 전제하에서 이를 추정하기 위한 식은 다음과 같이 설정될 수 있다.
위에서 uit는 오차항으로 uit ~ i.i.d. N(0,σu2)를 가정한다. 식 (3)은 Rit와 Rmt의 시계열 데이터를 이용하여 추정할 수 있으며, 추정된 βi는 식 (2)의 성격을 갖는다.5)
CAPM을 나타내는 식 (1)은 자산 i의 초과기대수익률이 체계적 위험 베타에 의해서만 결정된다는 것을 의미한다. 높은 베타를 갖는 자산은 높은 기대수익률을, 낮은 베타를 갖는 자산은 낮은 기대수익률을 가지며, 비체계적 위험은 기대수익률에 영향을 미치지 않는다. 이러한 명제가 성립하는가를 검정하기 위하여 BJS는 다음과 같은 검정식을 설정하였다.
위 식에서 는 자산 j의 평균초과수익률을 표시하며(즉, ), 는 자산 j에 대한 베타 추정치이다. λi는 계수이며, 베타와 기대수익률이 양(+)의 관계를 갖는다면, λ1>0이 성립하여야 한다.
체계적 위험이 존재하지 않는 경우 즉 베타가 0이라면, 식 (1)에서 E(ri)−rf=0이며, 이는 식 (4)에서 λ0=0이어야 함을 의미한다. 또한 베타가 1이라면 이는 시장포트폴리오의 위험을 표시하며, 식 (4)에서 이 성립되어야 함을 의미한다. BJS는 이러한 두 가지 성립조건을 통해 CAPM을 검정할 것을 제안하고 있다.
비체계적 위험이 기대수익률과 관련이 있는가를 직접적으로 검정하기 위해 식 (4)에 비체계적 위험 변수를 도입하면 다음과 같다.
위에서 는 비체계적 위험을 표시하는 변수로서, 식 (3)에서 오차항 uj의 표준편차에 대한 추정치를 대용변수로 사용한다. 비체계적 위험이 기대수익률에 영향을 미치지 않는다면, λ2=0이 되어야 한다.6)
식 (3)을 통해 추정된 개별 자산의 를 사용하는 경우, 두 가지 통계적인 문제가 발생할 수 있다. 첫째는 식 (3)에서 uit가 횡단면적으로 독립적이지 않을 수 있으며(즉 E(uit,ujt)≠0), 이 경우 계수 추정치는 비효율적(inefficient) 성격을 갖게 된다는 점이다. 둘째는 소위 “변수오차문제(errors-in-the-variables problem)이다. 식 (3)을 통해 추정된 베타는 “true” 베타와는 달리 오차를 포함하고 있으며, 이러한 오차는 검정식 (4)에서 λ1을 “true”값보다 작게 추정하는 하방 편의성(downward bias) 문제를 야기한다.
이러한 문제점들을 최소화하기 위해 본 연구에서는 BJS의 2단계 검정법을 사용한다.7) 1단계는 포트폴리오를 구성하는 단계이다. 이 단계에서는 개별자산의 수익률을 이용하여 추정한 베타의 크기별로, 몇 개의 포트폴리오를 구성하게 된다. 2단계에서는 구성된 포트폴리오별로 수익률을 계산하고 이러한 수익률을 이용하여 포트폴리오의 베타를 재추정한 후 식 (4) 혹은 식 (5)에 맞추어 검정을 하게 된다. 이처럼 포트폴리오의 베타를 이용하여 검정을 하는 이유는 개별 자산의 베타를 사용하는 경우 발생하는 통계적 문제점들을 포트폴리오 구성을 통해 어느 정도 희석시킬 수 있을 것으로 기대하기 때문이다. 주의할 점은 포트폴리오를 구성하는 단계와 포트폴리오별 수익률을 계산하는 단계의 기간을 서로 다르게 설정해야 한다는 점이다. 포트폴리오를 구성하는 동일한 기간에서 포트폴리오별 베타를 추정하는 경우, 선택편의(selection bias)가 발생할 수 있기 때문이다.8)
Ⅳ. 실증분석
본 연구에서는 울산광역시의 671개 아파트에 대한 매매가격 및 전세가격 데이터를 이용한다. 데이터 기간은 2005년 8월부터 2015년 8월까지이며, 수익률을 기준으로 하면 2005년 9월부터 2015년 8월까지의 10년간(120개월)이다. 대상 아파트는 100세대 이상의 아파트 단지 중에서 입주년도가 2004년까지인 아파트 단지의 평형별 아파트로서,9) 각 평형별로 중간 호가 가격을 사용하였다. 매매 및 전세가격 데이터는 국민은행에서 발표하는 월간 데이터이다.
주택투자 수익률은 두 가지로 구분하였다. 먼저 통상적으로 이용하는 자본수익률이다. 자본수익률은 월별 매매가격을 사용하여 계산할 수 있으며, 본 연구에서는 월별 매매가격을 로그 차분한 후 연율로 환산하여 사용하였다. 다른 하나는 자본수익률과 전세수익률(임대수익률)을 더한 총수익률이다. 외국의 경우 개별 주택에 대한 임대수익률을 구하기가 어려우며, 따라서 대부분의 주택수익률 분석은 자본수익률만을 고려하게 된다. 그러나 우리나라의 경우, 전세가격을 이용하면 대략적인 임대수익을 가늠할 수 있다. 본 연구에서는 전세수익률을 (전세가격*이자율)/매매가격의 산식을 이용하여 계산하였다.10) 전세수익을 계산하기 위한 이자율은 회사채수익률(AA−, 3년만기)을 적용하였다. <그림 1>은 671개 아파트에 대한 수익률의 기간 평균과 표준편차를 보여준다.
시장수익률은 투자시장에 존재하는 모든 투자재를 아우르는 포괄적 포트폴리오를 통해서 계산되어야 한다. 그러나 이러한 시장포트폴리오 수익률은 구하기 어렵다는 제약 하에서 주택투자와 관련된 CAPM 실증 분석에서는 통상적으로 주택시장의 수익률을 시장수익률의 대용지표로 사용하고 있다. 본 연구에서도 시장수익률을 울산주택시장의 수익률로 한정하였다. 울산주택시장의 시장수익률은 국민은행에서 발표하는 울산광역시에 대한 아파트가격지수와 아파트 전세/매매가격 비율을 이용하여 계산하였다. 시장수익률 계산 방식은 개별 아파트에 대한 주택투자 수익률 계산과 동일하다. 초과수익률을 계산하기 위한 무위험수익률의 대용지표로는 CD 유통수익률(3개월물)을 사용하였다. <표 1>은 본 연구에서 사용된 이자율과 시장수익률에 대한 통계 요약표이다.
주: 시장의 자본수익률은 울산광역시 아파트가격지수의 월간증가율이며, 시장의 임대수익률은 전세/매매가격비율* 회사채수익률로 계산한다. 총수익률은 자본수익률과 임대수익률을 더한 값이다. 데이터 기간은 2005년 9월부터 2015년 8월까지이다.
본 연구에서는 BJS의 방법에 따라 포트폴리오를 구성하고, 포트폴리오의 수익률을 이용하여 주택수익률과 위험의 관계를 살펴본다. 포트폴리오는 총 5회에 걸쳐 재편하며, 각 회차별로 개별 아파트의 베타의 크기순에 입각하여 10개의 포트폴리오를 구성하고, 해당 포트폴리오의 수익률을 계산한다. 포트폴리오를 구성하는 기간과 구성된 포트폴리오의 수익률을 계산하는 기간은 선택편의(selection bias) 문제를 없애기 위해 각각 다르게 설정한다.
<표 2>는 포트폴리오의 수익률을 구하기 위한 기간 구분을 보여주고 있다. 기간 A는 개별 아파트의 베타를 추정하고, 추정된 베타에 의해 10개의 포트폴리오를 구성하는 기간이며, 기간 B는 구성된 각 포트폴리오의 수익률을 계산하는 기간이다. 포트폴리오 수익률은 포트폴리오에 포함되는 개별 아파트 수익률의 평균치로 계산하며, 월별 수익률이다. 총 5차에 걸친 동일한 과정을 통해 10개의 포트폴리오별로 2010년 9월부터 2015년 8월까지 60개월의 수익률 데이터가 만들어진다.
| 1차 | 2차 | 3차 | 4차 | 5차 | |
|---|---|---|---|---|---|
| 기간A | ‘05.9~‘10.8 | ‘06.9~‘11.8 | ‘07.9~‘12.8 | ‘08.9~‘13.8 | ‘09.9~‘14.8 | 
| 기간B | ‘10.9~‘11.8 | ‘11.9~‘12.8 | ‘12.9~‘13.8 | ‘13.9~‘14.8 | ‘14.9~‘15.8 | 
주: 기간 A는 개별 아파트의 베타를 추정하고 추정된 베타에 의해 10개의 포트폴리오를 구성하는 기간이며, 기간 B는 포트폴리오별로 수익률을 계산하는 기간이다.
<표 3>은 각 포트폴리오별로 60개의 수익률 데이터를 이용하여 식 (3)을 추정한 결과이다. 포트폴리오의 수익률을 자본수익률로 정의한 경우가 왼편에, 그리고 전세수익률을 포함하는 총수익률로 정의한 경우가 오른편에 정리되어 있다. 두 수익률 모두에서 베타값은 1%의 유의수준에서 통계적 유의성을 갖고 있으며, R2는 모두 0.4보다 높은 수치를 보이고 있다.
주: ( )안의 수치는 표준오차이며, 첨자 ***,**,*는 각각 1%, 5%, 10% 유의수준에서 계수가 통계적으로 유의함을 표시한다. 추정식은 Rpt = αp + βp*Rmt + upt이며, 통상최소자승법(OLS)으로 추정하였다.
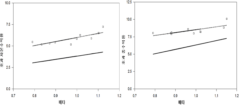
<그림 2>는 10개 포트폴리오의 초과수익률과 베타의 관계를 보여준다. 그림에서 점선은 초과수익률과 추정된 베타의 관계를 선형함수로 표시한 것으로 증권시장선(security market line)에 대한 추정결과이며, 실선은 이론적 증권시장선을 표시하고 있다.11)
이 절에서는 위험과 수익률의 관계에서 두 가지를 살펴본다. 하나는 BJS 방법에 따라 검정하였을 때, 주택수익률에 CAPM이 적용될 수 있는가의 여부이며, 다른 하나는 비체계적 위험이 기대수익률에 반영되는가의 여부이다. <표 4>는 10개의 포트폴리오 베타 및 비체계적 위험변수를 이용하여 식 (4)와 (5)를 추정한 결과이다. 사용된 추정 방법은 통상최소자승법(OLS)이다.
| 자본수익률 | 총수익률 | |||
|---|---|---|---|---|
| 수 (4) | 수 (5) | 수 (4) | 수 (5) | |
| λ0 | 1.269(1.177) | 1.194(1.246) | 4.363***(1.289) | 4.054**(1.341) | 
| λ1 | 4.711***(1.210) | 4.292**(1.521) | 4.157**(1.319) | 3.841**(1.444) | 
| λ2 | − | 0.032(0.064) | - | 0.041(0.060) | 
| 0.611 | 0.571 | 0.497 | 0.461 | |
주: ( )안의 수치는 표준오차이며, 첨자 ***,**,*는 각각 1%, 5%, 10% 유의수준에서 계수가 통계적으로 유의적임을 표시한다. 포트폴리오의 수(p)는 10개이며, 추정식은 이다.
<표 4>의 추정 결과와 그 의미를 정리하면 다음과 같다. 첫째, 베타의 계수 λ1은 모든 검정식에서 통계적으로 유의적인 양(+)의 값을 갖는다. 이러한 결과는 체계적인 위험 베타가 높아지면 기대수익률이 높아진다는 CAPM의 기본원리에 부합한다.
둘째, 비체계적 위험에 대한 계수 역시 양(+)의 값을 가지나, 통계적 유의성이 없어서 비체계적 위험이 기대수익률에 반영된다고 볼 수 없다. 다만, 이 결과는 포트폴리오의 설정이 개별 수익률의 베타 크기에 입각하여 이루어지고 이에 따라 비체계적 위험의 영향력이 포트폴리오 구성을 통해 서로 상쇄될 수도 있다는 점에서 그 결과를 그대로 수용하기는 어렵다.12)
셋째, 자본수익률을 이용한 경우의 R2는 총수익률을 이용한 경우에 비해 높은 수치를 보인다. 이러한 결과는 총수익률에 포함되는 전세수익률이 기대수익-위험의 관계를 통해 설명되기에는 다소 부적합하다는 것을 간접적으로 시사한다.
한편, BJS 방식의 검정은 식 (4)에서 λ0=0와 이 성립하는가에 대한 검정이다. <표 5>는 이에 대한 검정 결과를 보여준다. 먼저 수익률 지표로 자본수익률을 이용하는 경우, λ0=0와 에 대한 각각의 귀무가설은 통계적으로 기각되지 않는다. 그러나 두 개의 결합가설(H0: λ0=0 and )이 기각되고 있어서, BJS 방식에 의한 경우 엄밀한 의미의 CAPM은 성립하지 않는 것으로 나타나고 있다. 수익률 지표로 총수익률을 이용하는 경우, λ0=0의 단독 가설이 1%의 유의수준에서 기각되고 있으며, 두 개의 결합가설 역시 기각되고 있다.
| 귀무가설 | 자본수익률 | 총수익률 | ||
|---|---|---|---|---|
| 검정통계량 | p-value | 검정통계량 | p-value | |
| λ0=0 | t=1.077 | 0.313 | t=3.384 | 0.009 | 
| t=0.735 | 0.482 | t=-1.639 | 0.140 | |
| λ0 and | F=130.329 | 0.000 | F=120.724 | 0.000 | 
총수익률을 이용하는 경우 λ0가 0보다 큰 유의적인 값을 갖는 것은 주택이 투자재이면서 동시에 소비재라는 성격을 반영하는 것으로 해석할 수 있다. 투자자산의 경우 위험이 없다면 기대수익률이 무위험수익률과 같아져서 λ0가 0이 되어야 한다. 주택을 전세로 임차하는 이유는 주택이 소비재이기 때문이며, 투자자산으로서의 위험이 없는 경우라도 전세수익이 발생할 것이다. 이에 따라 λ0는 0보다 높은 값을 갖는 것으로 해석될 수 있을 것이다.
앞서의 실증분석에서는 포트폴리오의 숫자를 10개로 설정하였으며, CAPM의 검정기간은 2010년 9월부터 2015년 8월까지의 5년간이었다. 이 절에서는 포트폴리오의 숫자와 검정기간을 확대하였을 때 어떠한 결과가 나타나는지를 검토한다.
앞서 언급한 바와 같이, 베타 크기에 입각한 포트폴리오의 구성은 베타와 기대수익률의 관계를 명확히 하는 반면, 비체계적 위험이 기대수익률에 미치는 영향을 과소평가할 개연성이 높다. 포트폴리오의 수를 확대하면, 이러한 개연성이 다소 적어질 수 있다는 점에서 검정을 확대하는 의미가 있다고 할 것이다.
<표 6>은 포트폴리오의 개수를 늘렸을 때의 식 (5)에 대한 추정 결과이다. 베타에 대한 계수(λ1)가 통계적으로 유의하다는 점, λ0가 총수익률을 사용하였을 경우 자본수익률을 사용했을 때보다 커지며 통계적 유의성을 갖는다는 점, 그리고 R2가 총수익률을 사용하는 경우 전반적으로 작아진다는 점 등은 앞서의 분석 결과와 동일하다. 그러나 비체계적 위험에 대한 계수(λ2)는 앞서의 분석과 달리 P=20(총수익률)의 경우를 제외하면 모두 통계적 유의성을 갖고 있다. 이러한 결과는 비체계적 위험 역시 기대수익률에 반영될 수 있다는 점을 부각시키고 있다.
앞 절에서의 검정기간은 2010년 9월부터 2015년 8월까지의 5년간이었다. 여기서는 검정기간을 8년으로 확대하여 분석한 결과를 제시한다. 검정기간을 8년으로 확대하는 경우, 금융위기 기간이 포함되며 이에 따른 차이를 검토하는 것은 나름대로 의미가 있다고 할 것이다. 검정기간을 확대하기 위해서는 포트폴리오 구성을 위한 기간을 조정할 필요가 있다. 데이터의 전체기간이 10년이라는 점을 감안하여, 포트폴리오 구성을 위한 개별 주택에 대한 베타 추정기간14)을 2년으로 하였다. 이 경우 포트폴리오는 총 8차에 걸쳐 조정되고 각 회차마다 1년간의 포트폴리오 수익률을 계산하면 2007년 9월부터 2015년 8월까지 총 96개월(8년)의 시계열 데이터를 얻게 된다. <표 7>은 이렇게 산출된 포트폴리오 수익률을 이용하여 포트폴리오의 베타를 추정하고, 포트폴리오의 평균 수익률과 추정된 베타를 이용하여 식 (5)를 추정한 결과이다.
주: ( )안의 수치는 표준오차이며, 첨자 ***,**,*는 각각 1%, 5%, 10% 유의수준에서 계수가 통계적으로 유의미함을 표시한다. P는 포트폴리오의 개수(number)이며, P=671은 포트폴리오를 구성하지 않은 것과 동일하다.13) 추정식은 이다.
주: ( )안의 수치는 표준오차이며, 첨자 ***,**,*는 각각 1%, 5%, 10% 유의수준에서 계수가 통계적으로 유의적임을 표시한다. P는 포트폴리오의 수이며, 추정식은 이다.
<표 7>의 결과를 정리하면 다음과 같다. 첫째, 베타에 대한 계수 λ1은 모든 검정식에서 통계적으로 유의한 양(+)의 값을 갖는다. 검정기간이 5년인 경우에 비해 λ1의 크기가 작아지고 있는데, 이는 금융위기 기간을 포함하는 경우 주택시장의 수익률이 크게 낮아지는 것과 맥락을 같이 한다.15) 둘째, 비체계적 위험에 대한 계수 λ2는 포트폴리오 개수를 10개로 하건 20개로 하건 상관없이 1%의 유의수준에서 통계적 유의성을 갖고 있다. 셋째, 검정식의 R2값은 검정기간이 5년인 경우에 비해 낮은 수치를 보인다. 이러한 결과는 금융위기 기간 중에는 기대수익률과 위험을 통한 수익률 설명이 한계를 갖는다는 것을 시사하고 있다.
Ⅴ. 결론
본 연구에서는 울산의 671개 아파트의 수익률을 이용하여 주택투자에 대한 기대수익과 위험의 관계를 살펴보았다. 수익률은 자본수익률과 총수익률(자본수익률+전세수익률)의 두 가지로 구분하였으며, 데이터 기간은 2005년 9월부터 2015년 8월까지의 10년간이다. 개별 아파트의 수익률을 그대로 이용할 경우 발생할 수 있는 변수오차문제를 최소화하기 위하여 포트폴리오 수익률을 이용하였으며, 포트폴리오 구성 및 포트폴리오 수익률 계산은 Black·Jensen·Scholes(1972)의 방법을 원용하였다. 포트폴리오의 개수는 10개, 그리고 기대수익과 위험의 관계에 대한 검증기간은 5년을 기본으로 하였으며, 포트폴리오의 개수 및 검증기간을 확대하는 경우 어떠한 차이가 발생하는가도 함께 살펴보았다.
분석결과를 정리하면 다음과 같다. 첫째, 체계적 위험 베타와 기대수익률은 통계적으로 유의한 양(+)의 관계를 갖고 있으며, 이러한 관계는 포트폴리오의 개수나 검증기간을 늘려도 여전히 성립하고 있다. 둘째, CAPM의 검정식에서 두 개의 결합가설(H0: λ0=0 and )이 기각되고 있어서, BJS 방식에 의한 경우 엄밀한 의미의 CAPM은 성립하지 않는다. 다만, 개별적인 각각의 가설은 기각되지 않는다는 점에서 CAPM의 논리가 어느 정도 주택시장에 반영되고 있다고 불 수 있다.
셋째, 비체계적 위험은 포트폴리오의 개수가 10개 그리고 검증기간이 5년인 경우, 기대수익률에 반영되지 않는 것으로 나타나고 있다. 그러나 포트폴리오의 설정이 개별 수익률의 베타의 크기에 입각하여 이루어지고 이에 따라 비체계적 위험의 영향력이 포트폴리오 구성을 통해 상쇄될 수도 있다는 점을 감안하면, 그 결과를 그대로 수용하기는 어렵다. 포트폴리오의 개수 혹은 검증기간을 조정하는 경우, 기대수익률과 비체계적 위험이 통계적으로 유의한 양(+)의 관계를 갖고 있는 것으로 나타나고 있으며, 따라서 주택시장에서 체계적 위험뿐만 아니라 비체계적 위험 역시 기대수익률에 영향을 미치는 것으로 보는 것이 타당하다고 여겨진다.
넷째, 전세수익을 감안한 총수익률을 이용하는 경우, CAPM의 검정식에서 λ0가 0보다 큰 유의적인 값을 가지며, 모형의 설명력(R2)도 자본수익률을 이용할 때에 비해 낮은 수치를 보이고 있다. 이러한 결과는 주택이 투자재이면서 동시에 소비재라는 성격을 반영하는 것으로 해석할 수 있다. 주택의 경우 전세수익은 주택의 소비재적 성격에 기인하며, 전세수익은 투자 위험과 관련 없이 나타날 수 있다. 따라서 전세수익을 감안하는 총수익률의 경우 λ0가 0보다 높은 값을 가지며, 기대수익-위험의 관계를 나타내는 CAPM 모형에서의 설명력이 하락하는 것은, 당연한 결과라고 할 것이다.
본 연구가 갖는 특징 중의 하나는 수익률을 구분하고 있다는 점이다. 금융자산과는 달리 주택자산은 투자재이면서 동시에 소비재라는 특성을 갖고 있고, 이러한 특성은 전세수익에 반영될 수 있을 것이다. 전세수익을 감안하는 경우, 기대수익-위험의 관계도 달라질 수 있음을 실증적으로 제시하였다. 향후 이러한 실증적 결과를 뒷받침할 수 있는 보다 구체적인 이론적 논의가 필요하다는 점을 부언한다.
 
           
                 
                
